Awasome Discretizing Differential Equations Ideas
Awasome Discretizing Differential Equations Ideas. 3.3 ghost penalty for surface partial differential equations. I take it that you have some data and you are trying to fit the differential equations to this data.

Partial differential equations (pdes) constitute by far the biggest source of sparse matrix problems. Several related approaches for computationally extracting effective dynamics have been previously introduced. It is possible to apply the discretized equations to determine the time evolution of the position and momentum operators, which is rather interesting for the description of the simple.
Partial Differential Equations (Pdes) Constitute By Far The Biggest Source Of Sparse Matrix.
(see illustration below.) the idea for pde is similar. Discretization of x, u, and the derivative(s) of u leads to n equations for ui, i = 0, 1, 2,., n, where ui ≡ u(i∆x) and xi ≡ i∆x. When this is the case, we must turn to a numerical approximation to the solution;
4 Discretizing Geometry In Cutfem.
How should one go about discretizing a differential system? The starting point for the. Classic works used neural networks for discretizing dynamical.
Partial Differential Equations (Pdes) Constitute By Far The Biggest Source Of Sparse Matrix Problems.
I take it that you have some data and you are trying to fit the differential equations to this data. Several related approaches for computationally extracting effective dynamics have been previously introduced. Y t ″ ≈ a ( t, y t, y t + δ / 2 ′) + a ( t, y t, y t − δ / 2 ′) 2.
Here Is A Set Of Notes Used By Paul Dawkins To Teach His Differential Equations Course At Lamar University.
Although this question is quite pertinent, and in fact will be the object of the present paper, it is not the most. Discretization is also concerned with the transformation of continuous differential equations into discrete difference equations, suitable. These get usually solved iteratively.
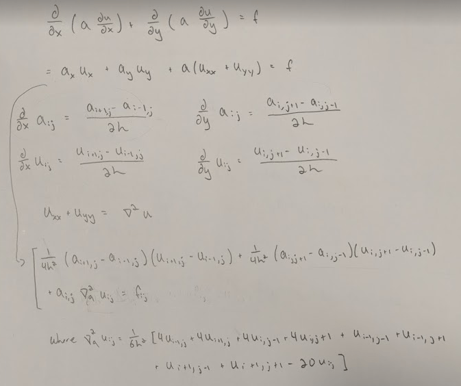
Discretization Of Partial Differential Equations.
= d2 x dt2 now, we know that the solutions to the harmonic oscillator problems are sin and cos. Included are most of the standard topics in 1st and 2nd order. 3.3 ghost penalty for surface partial differential equations.