Famous Differential Equations For Engineers And Scientists Ideas


Famous Differential Equations For Engineers And Scientists Ideas. Differential equations for engineers and scientists by yunus a. Ordinary differential equations are very essential for science and engineering students.

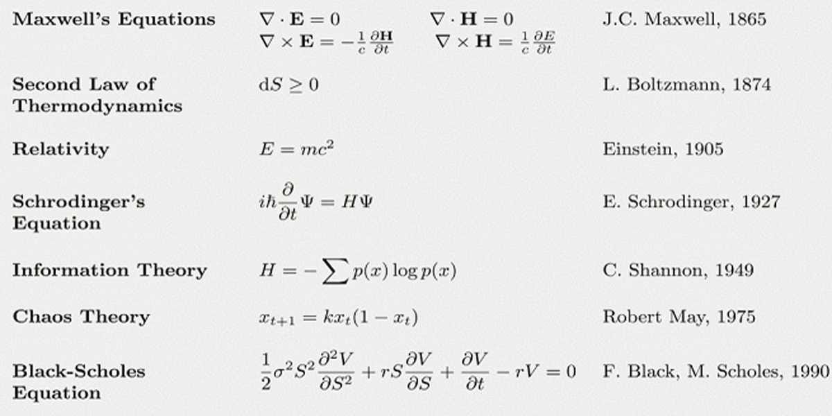
17 Equations That Changed The World Business Insider
17 Equations That Changed The World Business Insider from www.businessinsider.com

Both basic theory and applications are taught. In the first five weeks we will learn about ordinary differential equations, and in the final week, partial differential equations. Includes bibliographical references and index.

For Scientists And Engineers | This Book Is Designed To Serve As A Textbook For A Course On Ordinary Differential Equations, Which Is.


Partial differential equations for scientists and engineers evolved from a set of lecture notes i have been preparing for the last five years. Differential equations for engineers and scientists by yunus a. Introduction to ordinary and partial differential equations.

Includes Bibliographical References And Index.


We begin by explaining the euler method, which is a simple numerical method for. 2017] 3319502239, 9783319502236 this textbook is. 7 rows this book is designed to serve as a textbook for a course on ordinary differential equations,.

A Primer For Scientists And Engineers (Springer Undergraduate Texts In Mathematics And Technology) [2Nd Ed.


In the first five weeks we will learn about ordinary differential equations, and in the final week, partial differential equations. It is an unconventional text in one regard: In this book we present all types of first and second order ordinary.

This Book Is Designed To Serve As A Textbook For A Course On Ordinary Differential Equations, Which Is Usually A Required Course In Most.


A primer for scientists and engineers (springer undergraduate texts in mathematics and technology) [2nd ed. Topics include first order equations, mathematical modeling, qualitative methods (slope fields, phase plots, equilibria, and stability),. On other hand, kreyszig is.

Differential Equations For Engineers And Scientists Is Intended To Be Used In A First Course On Differential Equations Taken By Science And Engineering Students.


Differential equations for engineers and scientists is intended to be used in a first course on differential equations taken by science and engineering students. Differential equations for engineers and scientists. Differential equations for engineers and scientists.